近日,成人游戏
涂海文副教授团队在海洋工程领域国际著名期刊《Ocean Engineering》发表题为“Dynamic run-up and run-down characteristics in successive solitary waves on a slope”的研究论文。该研究系统界定了孤立波爬坡、回落全流程下,流动形态与动力参数趋于准稳态的判定标准及临界条件,深入揭示了连续孤立波沿斜坡爬高阶段,流场内部漩涡结构的生成、发展、破碎与转化的动力学机理,厘清涡系演化与波浪爬高耦合作用的内在规律。
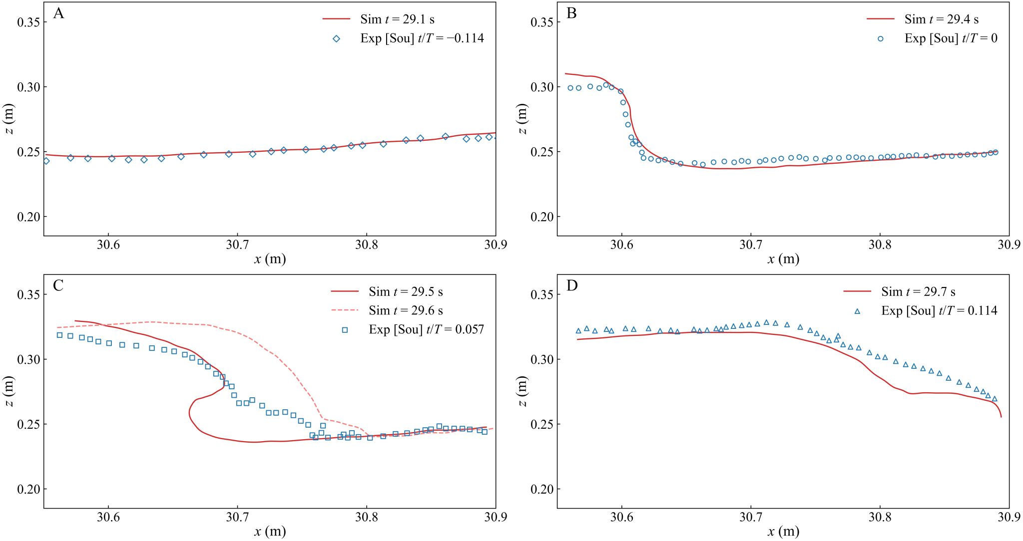
近岸波浪破碎现象试验研究难度极大,本文针对该问题开展数值探究,旨在揭示控制准稳态演化与三维涡动力学特征的内在物理机制。研究模拟了六列连续孤立波在1:10斜坡地形上的传播演化过程;构建了高精度数值波浪水槽,系统刻画自由面形态、水流流速及涡量场的时空演变规律。结果表明,本文构建的数值模型能够精准复现波浪与岸滩相互作用下的复杂水动力特性(如图1)。岸滩水流系统在第四列波浪作用后达到准稳态,其核心特征表现为波浪爬高与回落水流呈现时空周期性变化。该稳态的形成源于主导涡结构作用机制的转变:流场主导涡系由波浪自行破碎产生的初始主破碎涡(正涡量),逐步转变为波浪爬高流与回落流剪切作用诱发的交互涡(负涡量)。进一步的三维流场分析表明,此类交互涡为沿纵向延展的高剪切稳定区域,其横向分布的成对胞式环流结构,是岸滩区域能量耗散与动量交换的主要载体(如图2)。本研究成果明晰了波浪–岸滩耦合作用下的能量传递规律与三维流场结构特征,可为海啸灾害评估及海岸防护工程设计提供理论支撑与科学参考。

图1 孤立波爬高与回落自由面演化特征数值模拟与试验结果对比

图2 孤立波爬高与回落过程中破碎区内三维压力场的时序演化规律
论文第一作者为成人游戏
(武汉)成人游戏
硕士生王铎,通讯作者为涂海文副教授。研究获得了深圳市科技计划(编号:KCXFZ20240903093100001)、国家自然科学基金(编号:52571345)和中央高校基本科研业务费资助项目(编号:2025XLB100)的联合资助与支持。
论文引用:Wang, D., Li, M., Liu, S., Ning, C., Sun, J., Tu, H., Liu, Y., 2026. Dynamic run-up and run-down characteristics in successive solitary waves on a slope. Ocean Engineering. 358, 125651. //doi.org/10.1016/j.oceaneng.2026.125651.